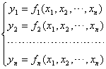
设有n个自变量的n个函数
(1)
它们定义在某一n维区域D中,并关于自变量有连续偏导数,则由这些偏导数组成的行列式

称为函数组(1)的函数行列式或雅可比式。记作
![]()
函数行列式具有与普通导数相似的一系列性质.
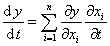
(1) 除函数组(1)外,再取在区域P中有定义且有连续偏导数的函数组

假设当点(t1,t2,
)在P中变动时,对应点(x1,x2,
)并不越出区域D,于是就可以通过x1,x2,
把y1,y2,
看成是t1,t2,
的复合函数.这时有
=
(2)
它是一元的复合函数的微分法则
y=f(x),x=
;
=![]()
![]()
的推广。
(2) 特别是,如果令t1=y1,t2=y2,
=yn(换句话说,由新变量x1,x2,
又回到旧变量y1,y2,
),则由(2)式得到
=1
它是一元函数的反函数微分法则
y=f(x), x=![]()
=![]()
的推广。
(3) 设有n个自变量x1,x2,
的m(m<n)个函数y1,y2,
:

式中x1,x2,
又是m个自变量t1,t2,
的函数:

假设它们都有连续偏导数,那末y1,y2,
作为t1,t2,
的函数的函数行列式的表达式为

等式右边的和式是从n个标号
内每次取m个的一切可能组合而取遍的。
当m=1时,上面的公式就是普通的复合函数的微分公式
![]()
的推广.特别当n=3,m=2时,有
![]()
(4) 设有2n个自变量的n个方程所组成的方程组
Fi(x1,x2,
;y1,y2,
)=0
(i=1,2,…,n)
假定
≠0
将y1,y2,
看成由这方程组所确定的x1,x2,
的函数,这时有
![]()

它是由F(x,y)=0所确定的隐函数y=f(x)的导数公式
![]()
的推广.
(5) 函数行列式可作为面积(体积)的伸缩系数.
假定函数
u=u(x,y),
=
(x,y)
在xy平面的某个区域上连续,并且有连续的偏导数,又假定在这个区域上
≠0
那末有
dud
=
dxdy
对更高维的空间有类似的表达式.
例 直角坐标与球面坐标的变换
x=rsin
cos
,y=rsin
sin
,z=rcos![]()
的函数行列式为
=
=![]()
这时 dxdydz=
drd
d
=
drd
d![]()